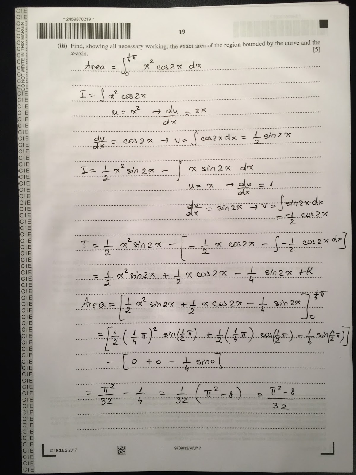
CIE – 9709 MATHEMATICS, Pure Mathematics 2&3, May/June 2017, Question Paper 32 – Solution

  

 

  

 

  

 

  

 

  

 

  

 

 


CIE – 9709 MATHEMATICS, Pure Mathematics 2&3, May/June 2017, Question Paper 32 – Solution

One thought on “CIE – 9709 MATHEMATICS, Pure Mathematics 2&3, May/June 2017, Question Paper 32 – Solution

Leave a Reply

Your email address will not be published. Required fields are marked *